It’s important to lay strong foundations for successful drug discovery at this first stage of the process. Our integrated target identification and validation platform combines AI with expert insights, and rigorous lab validation to guide targets through robust evaluation, ready for hit discovery.
Validated, high-quality hits, delivered through integrated technologies and expert collaboration, give you a confident starting point for faster drug discovery.
Turning promising leads into clinical candidates with speed, precision, and the scientific expertise to generate high-quality data and deliver real patient impact.
Delivering integrated, modality-agnostic drug discovery to tackle complex biology, accelerate development, and advance innovative therapies with confidence.
Advancing next-generation ADCs through payload-focused design, integrated expertise, and collaborative innovation to deliver safer, more selective therapies.
Driving biologics innovation through integrated design, structural biology, and multidisciplinary expertise to accelerate next-generation therapies from concept to clinic.
Combining deep therapeutic expertise with translational insight to design strategies, reduce risk, and accelerate discovery programs toward clinical success.
Accelerating oncology drug discovery through integrated expertise, innovative modalities, and translational insight to deliver candidates with real clinical impact.
Driving immunology and inflammation drug discovery through tailored assays, translational models, and integrated expertise for faster clinical success.
Advancing CNS drug discovery through integrated models, translational biomarkers, and multidisciplinary expertise to overcome complexity and accelerate therapeutic innovation.
Designing and advancing differentiated small-molecule therapies for obesity and diabetes through integrated expertise, mechanistic insight, and translational strategies.
Inobrodib, an exciting, first-in-class oral anti-cancer drug in clinical development by CellCentric, was collaboratively designed, synthesised and supported on its pre-clinical journey by an integrated project team at Sygnature Discovery. Inobrodib is now showing promising results in Phase I and II trials for multiple myeloma and other cancer types.
It’s important to lay strong foundations for successful drug discovery at this first stage of the process. Our integrated target identification and validation platform combines AI with expert insights, and rigorous lab validation to guide targets through robust evaluation, ready for hit discovery.
Validated, high-quality hits, delivered through integrated technologies and expert collaboration, give you a confident starting point for faster drug discovery.
Turning promising leads into clinical candidates with speed, precision, and the scientific expertise to generate high-quality data and deliver real patient impact.
Delivering integrated, modality-agnostic drug discovery to tackle complex biology, accelerate development, and advance innovative therapies with confidence.
Advancing next-generation ADCs through payload-focused design, integrated expertise, and collaborative innovation to deliver safer, more selective therapies.
Driving biologics innovation through integrated design, structural biology, and multidisciplinary expertise to accelerate next-generation therapies from concept to clinic.
Combining deep therapeutic expertise with translational insight to design strategies, reduce risk, and accelerate discovery programs toward clinical success.
Accelerating oncology drug discovery through integrated expertise, innovative modalities, and translational insight to deliver candidates with real clinical impact.
Driving immunology and inflammation drug discovery through tailored assays, translational models, and integrated expertise for faster clinical success.
Advancing CNS drug discovery through integrated models, translational biomarkers, and multidisciplinary expertise to overcome complexity and accelerate therapeutic innovation.
Designing and advancing differentiated small-molecule therapies for obesity and diabetes through integrated expertise, mechanistic insight, and translational strategies.
Inobrodib, an exciting, first-in-class oral anti-cancer drug in clinical development by CellCentric, was collaboratively designed, synthesised and supported on its pre-clinical journey by an integrated project team at Sygnature Discovery. Inobrodib is now showing promising results in Phase I and II trials for multiple myeloma and other cancer types.
CellCentric Lead Optimisation Campaign – CCS1477
Inobrodib, an exciting, first-in-class oral anti-cancer drug in clinical development by CellCentric, was collaboratively designed, synthesised and supported on its pre-clinical journey by an integrated project team at Sygnature Discovery. Inobrodib is now showing promising results in Phase I and II trials for multiple myeloma and other cancer types.
Customer Background
CellCentric is a UK based biotechnology company with a mission to transform outcomes for people living with cancer. The foundation of the company is in the science and understanding of cell fate control mechanisms with efforts focussed on inhibiting the action of twin proteins p300 and CBP with a small molecule oral drug.
The Challenge
CellCentric’s objective was to identify a potent, selective, and orally bioavailable inhibitor of the histone acetyl transferases p300 and CBP. The initial drug discovery programme targeted castrate resistant prostate cancer (CRPC), one of the most common cancers in men and a leading cause of male cancer deaths. Disruption of the bromodomain of p300 was shown to reduce expression of the androgen receptor and its variants which are important for driving late-stage disease.
Mechanism of action of Inobrodib in CRPC
Working with CellCentric, our scientists demonstrated that CCS1477, later renamed Inobrodib, also disrupts expression of other specific cancer promoting genes, including MYC and IRF4 and this mechanism of action has enabled the drug to be trialled in other cancers where these co-translational regulators are important, such as blood cancers (multiple myeloma and acute myeloid leukaemia). It is also being investigated with other cancers which have loss of function mutations in either p300 or CBP such as lymphomas, lung, bladder and breast cancer.
Why Sygnature Discovery?
Having worked with Sygnature on previous collaborations, CellCentric chose to collaborate again for this project. Sygnature’s strong track record in delivering integrated discovery projects left us well placed to meet the complex needs of the project.
Sygnature’s Approach and Solution
The integrated project team delivered innovative medicinal chemistry alongside a comprehensive, diverse screening cascade of in vitro assays covering potency, selectivity, mode-of-action, ex vivo biomarkers, in vitro ADME and bioanalysis. Using structure-based drug discovery and medicinal chemistry, the joint CellCentric and Sygnature team improved potency whilst enhancing metabolic stability, selectivity and permeability. The chemistry was successfully scaled up to 200 g to support preclinical studies. Inobrodib was made in 6 linear steps with an overall yield of 29% and chromatography was limited to two silica filter plugs.
Inobrodib was identified as a potent and selective small molecule inhibitor of the bromodomains of p300/CBP. It is cell permeant with good in-cell target engagement, demonstrated through potent disruption of binding of the bromodomain of p300 to nuclear histones in a protein-protein interaction NanoBRET assay.
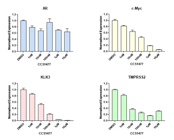
CRPC is associated with continued androgen receptor stimulation and gene expression changes through a variety of changes in the cell which drive the disease. Inobrodib was shown to have anti-proliferative effects against a range of prostate cancer cell lines and was able to reduce the expression of androgen-receptor and c-MYC regulated gene expression (See figure below) suggesting it would have efficacy in this setting.
Key Results and Impact
Inobrodib is orally bioavailable, with rapid oral absorption, moderate clearance, and a low volume of distribution. In a 22Rv1 xenograft model of prostate cancer, inhibition of tumour growth was observed leading to tumour stasis over a 28-day treatment period (See Figure below). When drug treatment was stopped, there was a prolonged period of sustained tumour growth inhibition until day 52 when the study finished. This study also indicated that it should be possible to dose intermittently and achieve good efficacy and thereby reduce any potential toxicology issues. The unbound drug exposure causing stasis in the 22Rv1 mouse xenograft model was used to derive a target human exposure.
Treatment with CCS1477 was associated with highly significant inhibition of plasma PSA, a clinically relevant biomarker (See figure below), as well as tumour AR-FL, AR-SV and c-Myc protein and KLK3 and TMPRSS2 genes in this model, demonstrating good linkage between in vitro and in vivo biomarker results and providing appropriate biomarkers for use in the clinic.
In a similar manner, the project team were able to demonstrate that Inobrodib was able to inhibit proliferation of haematological cancer cell lines, impacting cMYC and IRF4 regulated gene expression, enabling further clinical trials in a wider range of cancers where p300 and/or CBP may have a role in driving the disease.
These exciting findings were presented by CellCentric as a ‘New Drug On The Horizon’ at AACR in 2019 and as a pivotal publication in Cancer Research in May 2021, with many Sygnature co-authors.
Findings in animal models also helped the team at Xenogesis (now part of the Sygnature Discovery) to predict the appropriate dose for this oral anti-cancer drug in the clinical trials. The project was supported using a physiologically based pharmacokinetic (PBPK) modelling approach with clearance in mouse and dog predicted within two-fold and rat within three-fold from in vitro data. Volume of distribution was predicted within two-fold for all three species. Using human in vitro hepatocyte and plasma protein binding data, the predicted clearance in man was low with a moderate volume of distribution. Based on matching unbound exposure in pre-clinical tumour growth inhibition studies, efficacy in man was predicted to be achievable with an acceptable dose regime.
Working Relationship
The collaboration was characterised by close communication, scientific transparency, and mutual respect. Teams from both organisations met frequently to discuss data, align priorities, and troubleshoot challenges. The partnership showcased Sygnature’s integrated model, where chemistry, biology, and DMPK experts collaborate seamlessly to meet the customer’s needs.Â
This was a first class collaboration and we couldn’t have succeeded without Sygnature Discovery’s efforts.
Neil Pegg
CSO
Conclusions and Future Outlook
The collaboration between Sygnature Discovery and CellCentric not only delivered a first in class clinical candidate but also laid the foundation for an ambitious next stage of development. With CellCentric having secured a substantial US $120 million financing in 2025, Inobrodib is now advancing into a Phase II/III registration study in heavily pre-treated multiple myeloma, alongside a dedicated Phase III programme slated to begin in mid-2026. Further studies are also planned to evaluate Inobrodib in combination with bispecific antibodies and as a maintenance therapy. This success demonstrates how an integrated project approach can turn complex scientific challenges into tangible clinical outcomes utilising the wealth of expertise across Sygnature.
Publications and Patents
Pegg, Neil Anthony; Taddei, David Michel Adrien; Shannon, Jonathan; Paoletta, Silvia; Qin, Ting; Harbottle, Gareth. CCS1477: A Novel Small‑Molecule Inhibitor of p300/CBP Bromodomain for the Treatment of AML and MM. Blood (2019), 134 (Supplement 1), 2560. https://ashpublications.org/blood/article/134/Supplement_1/2560/423249/CCS1477-A-Novel-Small-Molecule-Inhibitor-of-p300
Pegg, Neil Anthony; Taddei, David Michel Adrien; Shannon, Jonathan; Paoletta, Silvia; Qin, Ting; Harbottle, Gareth. From PCT Int. Appl. (2018), WO 2018/073587 A1.
Pegg, Neil Anthony; Taddei, David Michel Adrien; Shannon, Jonathan; Paoletta, Silvia; Qin, Ting; Harbottle, Gareth. From U.S. Pat. (2020), US 10,647,704 B2.
Pegg, Neil Anthony; Taddei, David Michel Adrien; Brown, Richard. From U.S. Pat. (2018), US 10,128,920 B2.
Pegg, Neil Anthony; Taddei, David Michel Adrien; Onions, Stuart Thomas; Tse, Eric Sing Yuen; Brown, Richard James; Mycock, David Kenneth; Cousin, David; Patel, Anil. From U.S. Pat. (2018), US 10,118,920 B2.