It’s important to lay strong foundations for successful drug discovery at this first stage of the process. Our integrated target identification and validation platform combines AI with expert insights, and rigorous lab validation to guide targets through robust evaluation, ready for hit discovery.
Validated, high-quality hits, delivered through integrated technologies and expert collaboration, give you a confident starting point for faster drug discovery.
Turning promising leads into clinical candidates with speed, precision, and the scientific expertise to generate high-quality data and deliver real patient impact.
Delivering integrated, modality-agnostic drug discovery to tackle complex biology, accelerate development, and advance innovative therapies with confidence.
Advancing next-generation ADCs through payload-focused design, integrated expertise, and collaborative innovation to deliver safer, more selective therapies.
Driving biologics innovation through integrated design, structural biology, and multidisciplinary expertise to accelerate next-generation therapies from concept to clinic.
Combining deep therapeutic expertise with translational insight to design strategies, reduce risk, and accelerate discovery programs toward clinical success.
Accelerating oncology drug discovery through integrated expertise, innovative modalities, and translational insight to deliver candidates with real clinical impact.
Driving immunology and inflammation drug discovery through tailored assays, translational models, and integrated expertise for faster clinical success.
Advancing CNS drug discovery through integrated models, translational biomarkers, and multidisciplinary expertise to overcome complexity and accelerate therapeutic innovation.
Designing and advancing differentiated small-molecule therapies for obesity and diabetes through integrated expertise, mechanistic insight, and translational strategies.
Inobrodib, an exciting, first-in-class oral anti-cancer drug in clinical development by CellCentric, was collaboratively designed, synthesised and supported on its pre-clinical journey by an integrated project team at Sygnature Discovery. Inobrodib is now showing promising results in Phase I and II trials for multiple myeloma and other cancer types.
It’s important to lay strong foundations for successful drug discovery at this first stage of the process. Our integrated target identification and validation platform combines AI with expert insights, and rigorous lab validation to guide targets through robust evaluation, ready for hit discovery.
Validated, high-quality hits, delivered through integrated technologies and expert collaboration, give you a confident starting point for faster drug discovery.
Turning promising leads into clinical candidates with speed, precision, and the scientific expertise to generate high-quality data and deliver real patient impact.
Delivering integrated, modality-agnostic drug discovery to tackle complex biology, accelerate development, and advance innovative therapies with confidence.
Advancing next-generation ADCs through payload-focused design, integrated expertise, and collaborative innovation to deliver safer, more selective therapies.
Driving biologics innovation through integrated design, structural biology, and multidisciplinary expertise to accelerate next-generation therapies from concept to clinic.
Combining deep therapeutic expertise with translational insight to design strategies, reduce risk, and accelerate discovery programs toward clinical success.
Accelerating oncology drug discovery through integrated expertise, innovative modalities, and translational insight to deliver candidates with real clinical impact.
Driving immunology and inflammation drug discovery through tailored assays, translational models, and integrated expertise for faster clinical success.
Advancing CNS drug discovery through integrated models, translational biomarkers, and multidisciplinary expertise to overcome complexity and accelerate therapeutic innovation.
Designing and advancing differentiated small-molecule therapies for obesity and diabetes through integrated expertise, mechanistic insight, and translational strategies.
Inobrodib, an exciting, first-in-class oral anti-cancer drug in clinical development by CellCentric, was collaboratively designed, synthesised and supported on its pre-clinical journey by an integrated project team at Sygnature Discovery. Inobrodib is now showing promising results in Phase I and II trials for multiple myeloma and other cancer types.
The Caco-2 cell line is derived from human colorectal adenocarcinoma. During extended culture, Caco-2 cells undergo both morphological and functional differentiation, acquiring characteristics similar to small intestinal enterocytes with formation of polarized monolayers of columnar epithelial cells with apical microvilli, brush borders, and inter-cellular tight junctions, expression of key ATP binding cassette transporters, including MDR1 (P gp/ABCB1) and BCRP (ABCG2).
Drug transport is measured bi-directionally, apical-to-basolateral (AtoB) and basolateral-to-apical (BtoA), which allows for the rate of permeability to be determined and for the identification of efflux substrates.
As a human derived cell line, cultured monolayers of Caco-2 cells represent a useful and relevant system for bidirectional transport studies which enable the identification of passive and active transport processes and can help predict the oral absorption and CNS penetrance of new chemical entities.
Protocol Summary
Sygnature Discovery use in-house cultured Caco-2 cells to assess compound permeability and efflux potential in hanging insert plate format.
Well
96
Culture Period
21 days (day 21-25)
Incubation Concentration
10 µM
Number of Replicates
2
Incubation Volumes
75 uL (Apical), 225 uL (Basal)
Incubation Buffer
Hanks Balanced salt solution (HBSS) with HEPES (pH 7.4) or MES (pH 6.5)
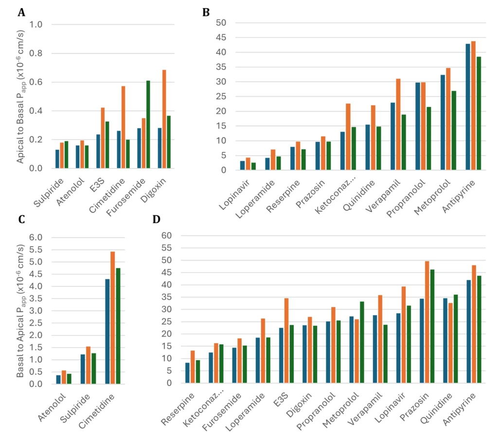
Figure 1. Apparent permeability coefficient (Papp) results for test compounds evaluated in Sygnature Discovery’s Caco-2 assay with HBSS pH 7.4/7.4 buffer. Each bar represents the mean from triplicate technical replicates from a single experiment (n=3). A & B are the apical to basolateral determinations of Papp. C & D are the basolateral to apical determinations of Papp. Data is shown on different axis for ease of comparison purposes only.
Figure 2. Efflux ratio calculated for test compounds evaluated in Sygnature Discovery’s Caco-2 assay with HBSS pH 7.4/7.4 buffer. Data was assayed in triplicate in 3 independent experiments (n=3).
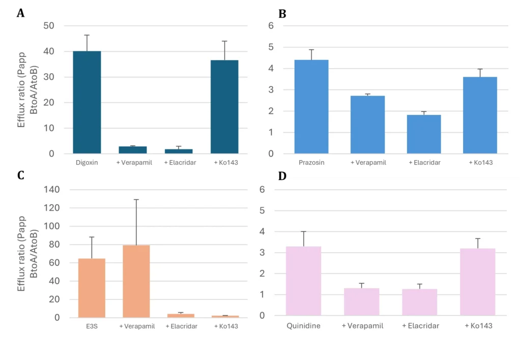
Figure 3. Efflux ratio of MDR1 and BCRP probe substrates in the presence of know inhibitors. A Digoxin, B Prazosin, C Estrone-3-Sulfate (E3S) and D Quinidine.Model inhibitors were Verapamil 18 µM (MDR1), Elacridar 3.5 µM (MDR1 & BCRP) and Ko143 1.5 µM (BCRP). Results are presented as mean +/- SD.Figure 3. Efflux ratio of MDR1 and BCRP probe substrates in the presence of know inhibitors. A Digoxin, B Prazosin, C Estrone-3-Sulfate (E3S) and D Quinidine.Model inhibitors were Verapamil 18 µM (MDR1), Elacridar 3.5 µM (MDR1 & BCRP) and Ko143 1.5 µM (BCRP). Results are presented as mean +/- SD.
References
Hubatsch, I., Ragnarsson, E. & Artursson, P. Determination of drug permeability and prediction of drug absorption in Caco-2 monolayers. Nat Protoc 2, 2111–2119 (2007).
The International Transporter Consortium, (2010), Nat Rev 9; 215-236
Role of the Breast Cancer Resistance Protein (ABCG2) in Drug Transport, 2005, The AAPS Journal, 7 (1) Article 12
In Vitro Drug Interaction Studies — Cytochrome P450 Enzyme- and Transporter-Mediated Drug Interactions: Guidance for Industry. FDA (CDER) 2020.