It’s important to lay strong foundations for successful drug discovery at this first stage of the process. Our integrated target identification and validation platform combines AI with expert insights, and rigorous lab validation to guide targets through robust evaluation, ready for hit discovery.
Validated, high-quality hits, delivered through integrated technologies and expert collaboration, give you a confident starting point for faster drug discovery.
Turning promising leads into clinical candidates with speed, precision, and the scientific expertise to generate high-quality data and deliver real patient impact.
Discover precise insights into brain neurochemistry with Sygnature Discovery's in vivo microdialysis and cOFM services. With over 20 years of expertise, we design bespoke studies that reveal how compounds modulate neurotransmitter systems in health and disease. Using UHPLC/HPLC with electrochemical detection or mass spectrometry, we deliver robust PK/PD data to support confident CNS decision making.
Delivering integrated, modality-agnostic drug discovery to tackle complex biology, accelerate development, and advance innovative therapies with confidence.
Advancing next-generation ADCs through payload-focused design, integrated expertise, and collaborative innovation to deliver safer, more selective therapies.
Driving biologics innovation through integrated design, structural biology, and multidisciplinary expertise to accelerate next-generation therapies from concept to clinic.
Combining deep therapeutic expertise with translational insight to design strategies, reduce risk, and accelerate discovery programs toward clinical success.
Accelerating oncology drug discovery through integrated expertise, innovative modalities, and translational insight to deliver candidates with real clinical impact.
Driving immunology and inflammation drug discovery through tailored assays, translational models, and integrated expertise for faster clinical success.
Advancing CNS drug discovery through integrated models, translational biomarkers, and multidisciplinary expertise to overcome complexity and accelerate therapeutic innovation.
Designing and advancing differentiated small-molecule therapies for obesity and diabetes through integrated expertise, mechanistic insight, and translational strategies.
Inobrodib, an exciting, first-in-class oral anti-cancer drug in clinical development by CellCentric, was collaboratively designed, synthesised and supported on its pre-clinical journey by an integrated project team at Sygnature Discovery. Inobrodib is now showing promising results in Phase I and II trials for multiple myeloma and other cancer types.
It’s important to lay strong foundations for successful drug discovery at this first stage of the process. Our integrated target identification and validation platform combines AI with expert insights, and rigorous lab validation to guide targets through robust evaluation, ready for hit discovery.
Validated, high-quality hits, delivered through integrated technologies and expert collaboration, give you a confident starting point for faster drug discovery.
Turning promising leads into clinical candidates with speed, precision, and the scientific expertise to generate high-quality data and deliver real patient impact.
Delivering integrated, modality-agnostic drug discovery to tackle complex biology, accelerate development, and advance innovative therapies with confidence.
Advancing next-generation ADCs through payload-focused design, integrated expertise, and collaborative innovation to deliver safer, more selective therapies.
Driving biologics innovation through integrated design, structural biology, and multidisciplinary expertise to accelerate next-generation therapies from concept to clinic.
Combining deep therapeutic expertise with translational insight to design strategies, reduce risk, and accelerate discovery programs toward clinical success.
Accelerating oncology drug discovery through integrated expertise, innovative modalities, and translational insight to deliver candidates with real clinical impact.
Driving immunology and inflammation drug discovery through tailored assays, translational models, and integrated expertise for faster clinical success.
Advancing CNS drug discovery through integrated models, translational biomarkers, and multidisciplinary expertise to overcome complexity and accelerate therapeutic innovation.
Designing and advancing differentiated small-molecule therapies for obesity and diabetes through integrated expertise, mechanistic insight, and translational strategies.
Inobrodib, an exciting, first-in-class oral anti-cancer drug in clinical development by CellCentric, was collaboratively designed, synthesised and supported on its pre-clinical journey by an integrated project team at Sygnature Discovery. Inobrodib is now showing promising results in Phase I and II trials for multiple myeloma and other cancer types.
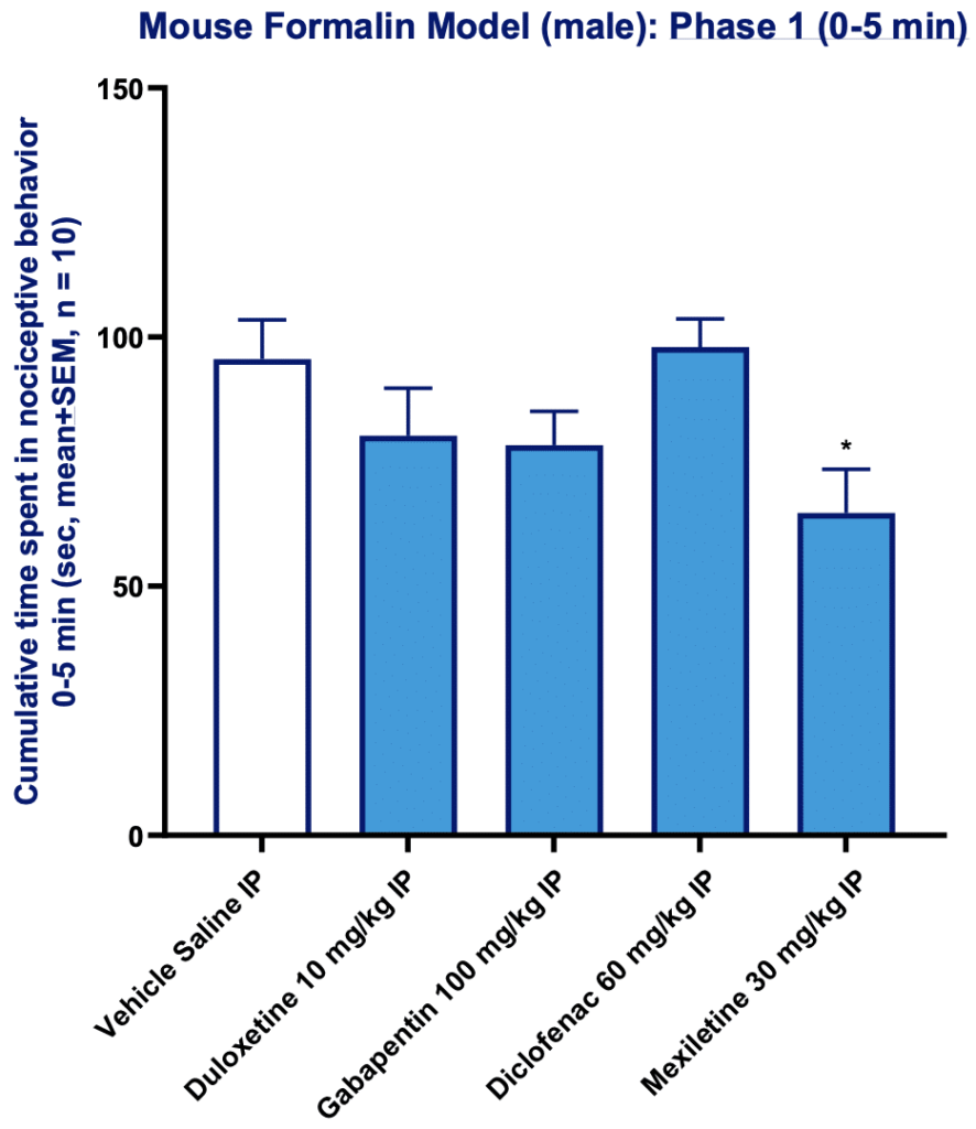
The mouse-formalin pain model stands as a chemically-evoked acute pain model within our research arsenal at Sygnature Discovery.
Well-known for its capability for rapid screening, it’s particularly well-suited for most analgesic targets. The model delves into both central and peripheral mechanisms of pain, with its Phase 2 often regarded as a ‘surrogate’ for neuropathic pain models, thereby expanding its utility.
The induction of this model involves the careful injection of a diluted formalin solution into the mouse’s paw. Post-injection, observable behaviors such as biting, licking, and guarding provide crucial indicators of pain reactions. The model’s response is classified into two distinct phases, 0-5 minutes representing Phase 1, and the duration from 15-60 minutes designated as Phase 2 while 5-15 minutes represents a quiescent interphase.
Sygnature Discovery’s standard study design for this model generally comprises 4-6 groups, with each group containing 10 subjects to maintain data integrity and robustness. A range of positive controls, including Duloxetine, Gabapentin, Mexiletine, and Diclofenac, have been tested to ascertain the model’s reliability and scope. To ensure consistent results and uphold the highest standards of scientific investigation, the model is meticulously validated for the C57BL6 mouse species.
In the comprehensive evaluation of the mouse-formalin pain model, a salient observation is the pronounced pain response exhibited by male mice compared with the females, a factor that underpins our choice to utilize males for the model. Their heightened sensitivity offers a more robust platform to discern and quantify pain reactions, making the analysis more nuanced and informative.
The four clinically used prototype analgesic drugs were then tested in male mice in this model. For rapid screening purpose, 0-5 minutes and 20-40 minutes are often taken as representation of Phase 1 and Phase 2, respectively, of this model. In the Phase 1 of formalin pain model, except for Mexiletine producing a very minor analgesic effect, none of the other analgesic drugs could produce any analgesia. In the Phase 2 of formalin pain model, all four analgesic drugs produced significant and strong analgesic effects indicating higher back-transitional face value of the Phase 2 of formalin pain model. The order of analgesia of the four analgesic drugs was as follows: duloxetine ˃ mexiletine ˃ gabapentin ˃ diclofenac, which is also consistent with their clinical efficacy often seen in chronic pain. In this regard, it’s crucial to accentuate the predictive prowess of Phase 2 within the model. This phase, replicating certain facets of neuropathic pain, proves especially potent in forecasting the potential of analgesic targets. The pronounced responsiveness in Phase 2 serves as an invaluable predictor, often aligning closely with the efficacy and mode of action of analgesic compounds. In essence, the male mouse as the chosen specimen, coupled with the distinct utility of Phase 2, augments the mouse-formalin pain model’s credibility and value in our quest to decipher and modulate pain pathways.
As with all our research endeavors, the mouse-formalin pain model underscores Sygnature Discovery’s commitment to advancing our understanding of pain through rigorous, innovative, and reliable methods.